好太王碑


好太王碑

未知

十六国

公元414年

隶楷

高句丽重要碑刻。又称好太王碑、广开土王碑、广开土王陵碑或永乐太王碑。在吉林省集安市东 4公里太王乡大碑街,其西约 200米处为好太王陵。好太王是高句丽第19代王,名安,《三国史记》作谈德, 391年即位,号永乐太王,逝于 412年,谥号国冈上广开土境平安好太王。此碑是其子长寿王于 414年建立的。
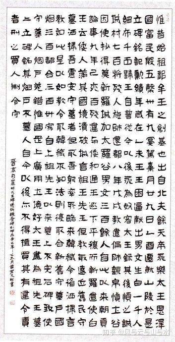
碑由一方柱形角砾凝灰岩巨石略加修琢而成,石质粗砺,碑面不平。高6.39米,底部宽1.34~1.97米,顶部宽1~1.6米,第3面最宽处可达2米。整个碑体矗立在一块花岗岩石板上。碑的四面均凿有天地格,而后再施竖栏。碑文镌刻在竖栏内,四面环刻,共44行,每行足字41字,原刻总计1775字,其中 141字已脱落无法辨识。碑文字体为隶书,少波磔,大小一般为14厘米见方,书法方严端庄、朴茂古拙,备受书家赏识。
碑文内容分 3部分:第一部分记述高句丽建国的神话传说,并简述好太王的行状;第二部分记述好太王征碑丽、伐百济、救新罗、败倭寇、征东夫余过程中攻城略地并掠得生口等史实;第三部分根据好太王遗教,对好太王墓守墓人烟户来源和家数作了详细记载,并刻记不得转卖守墓人的法令。碑铭是研究高句丽历史的珍贵资料,由于内容涉及朝鲜半岛和当年日本列岛倭人的活动,所以自光绪初年发现以来,备受中外史家关注。由于碑体严重风化,碑文剥蚀不清,加之传世拓本多是经拓工用石灰在碑面上作了修补之后制成的,致使对此碑的释读分歧很大。80年代初,中国学者经过深入调查,新识读89字,认定各家有争议的字62个,查明过去认为是脱文而实际无字29个,共解决了 180字,从而使好太王碑的研究有了巨大突破。